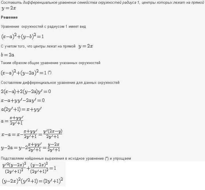
Решение дифференциальных уравнений график