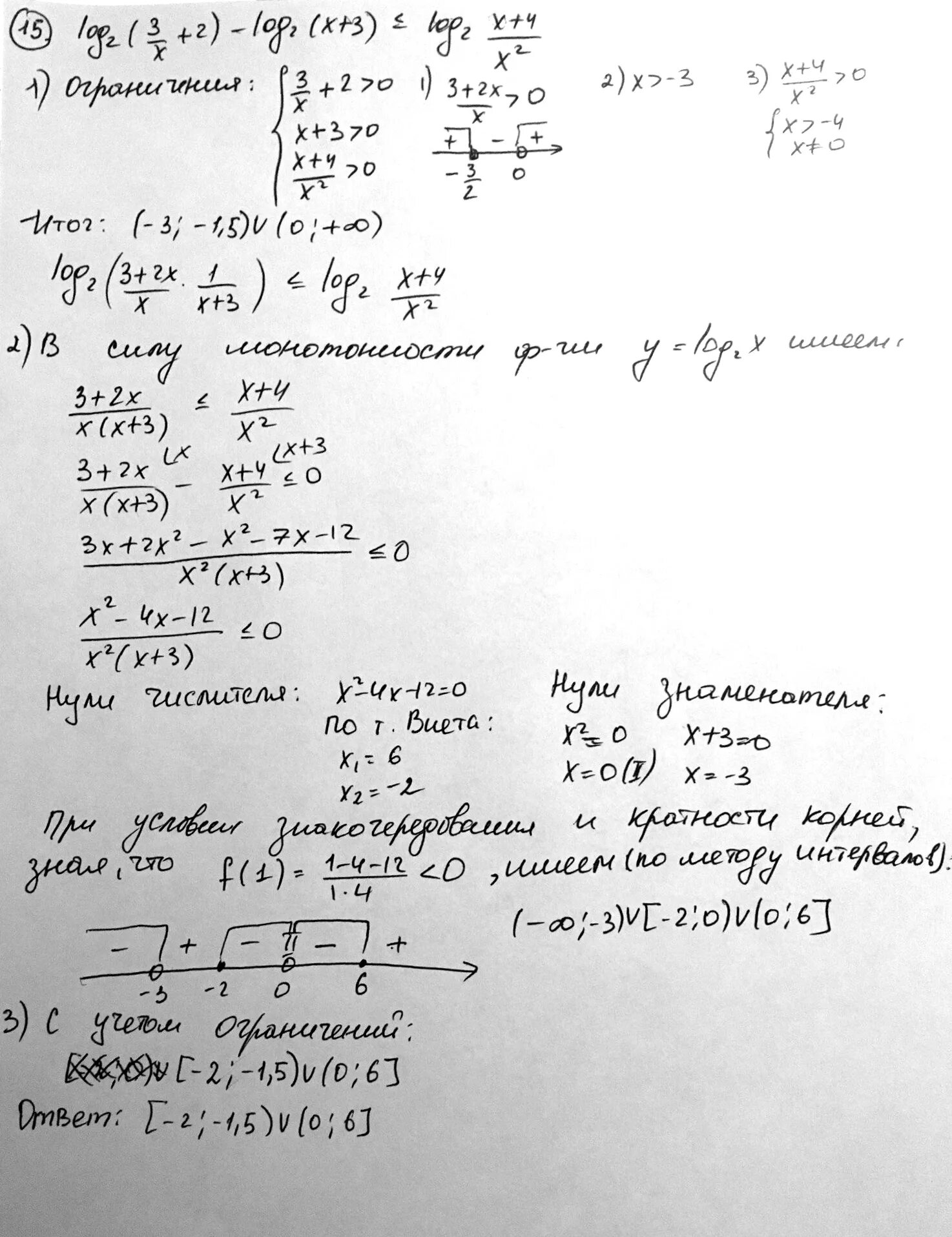
Решение егэ 2018