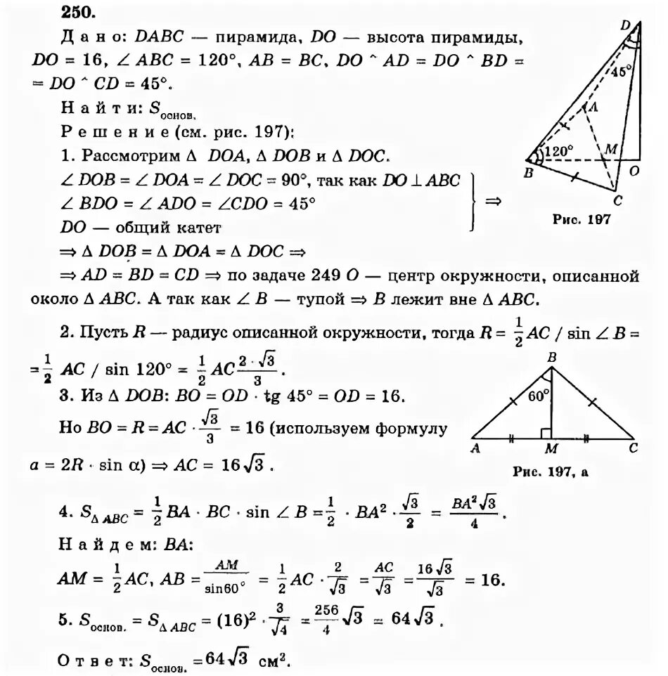
Решение геометрии атанасяна 10