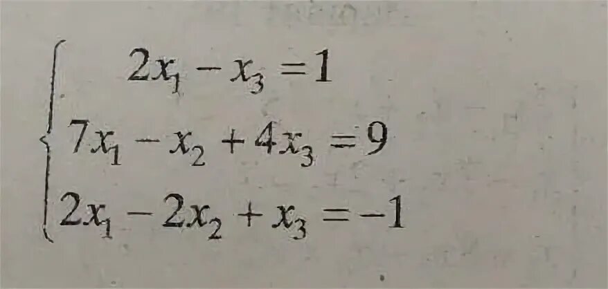
Решить 3 2 5 125