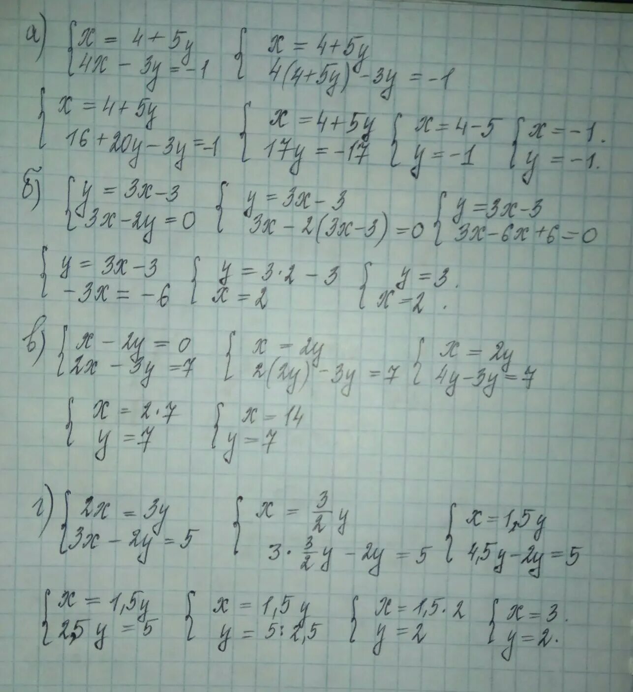
Решить систему способом подстановки 3х 2у 7