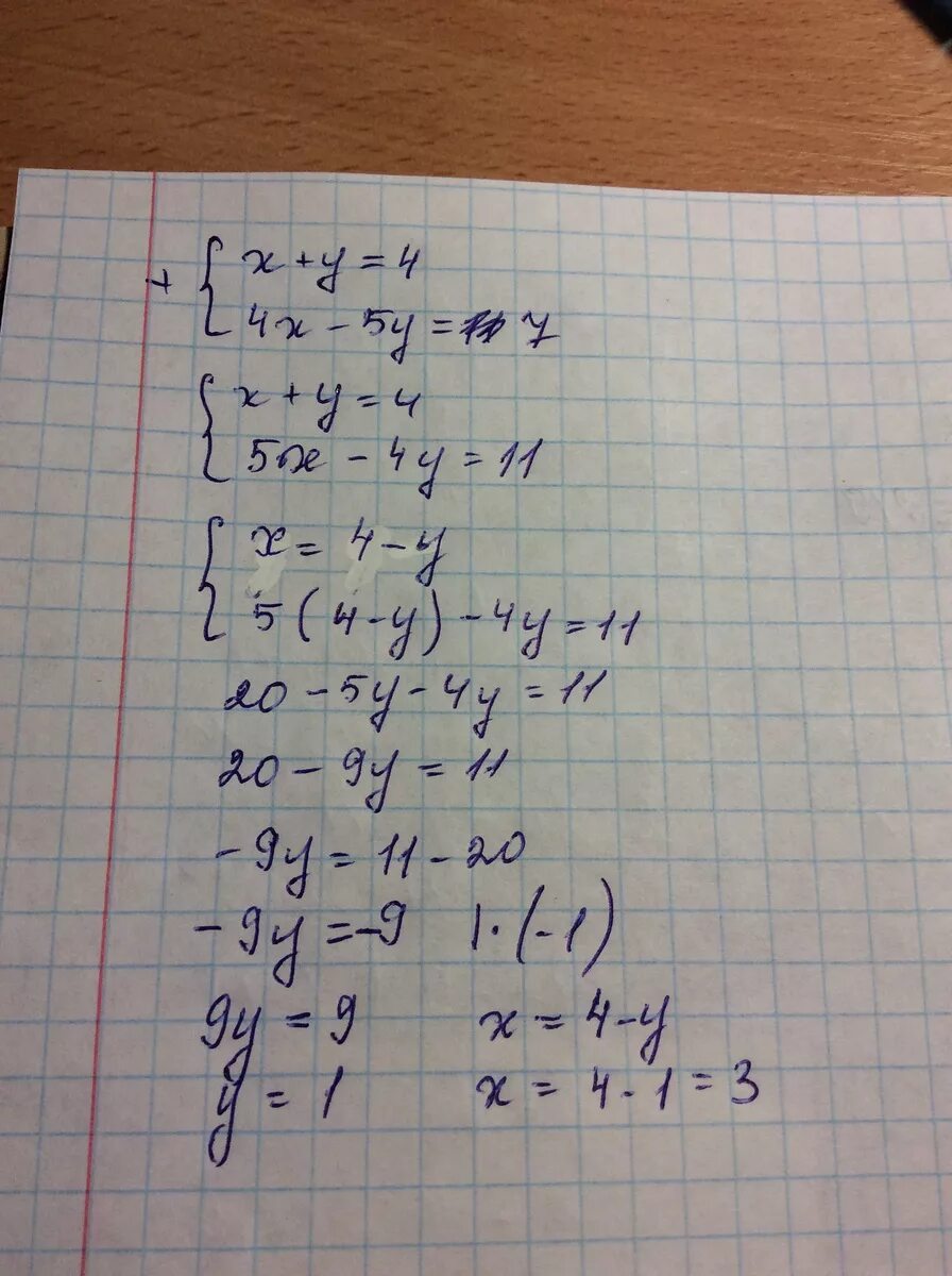
Решите систему уравнений 4x 7y