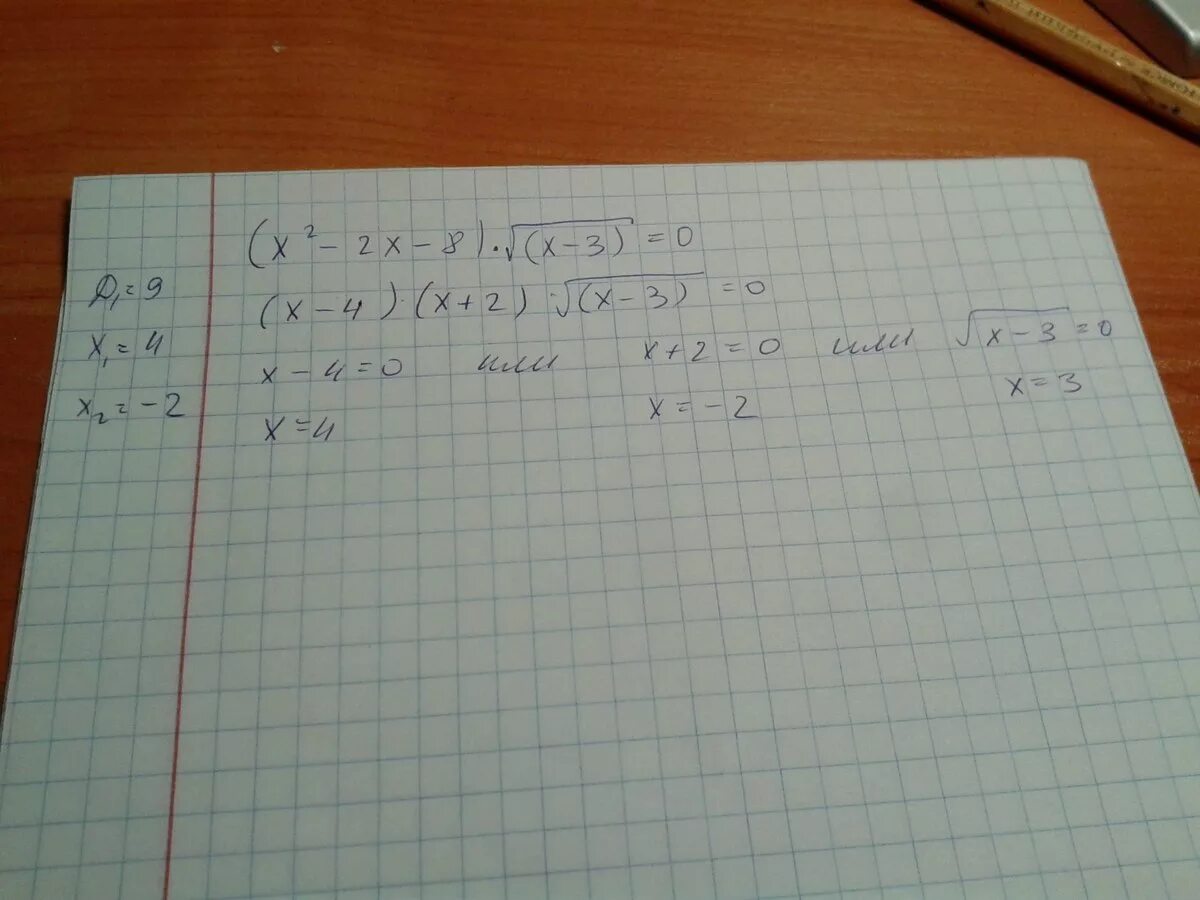
Решите уравнение z 2 9 0