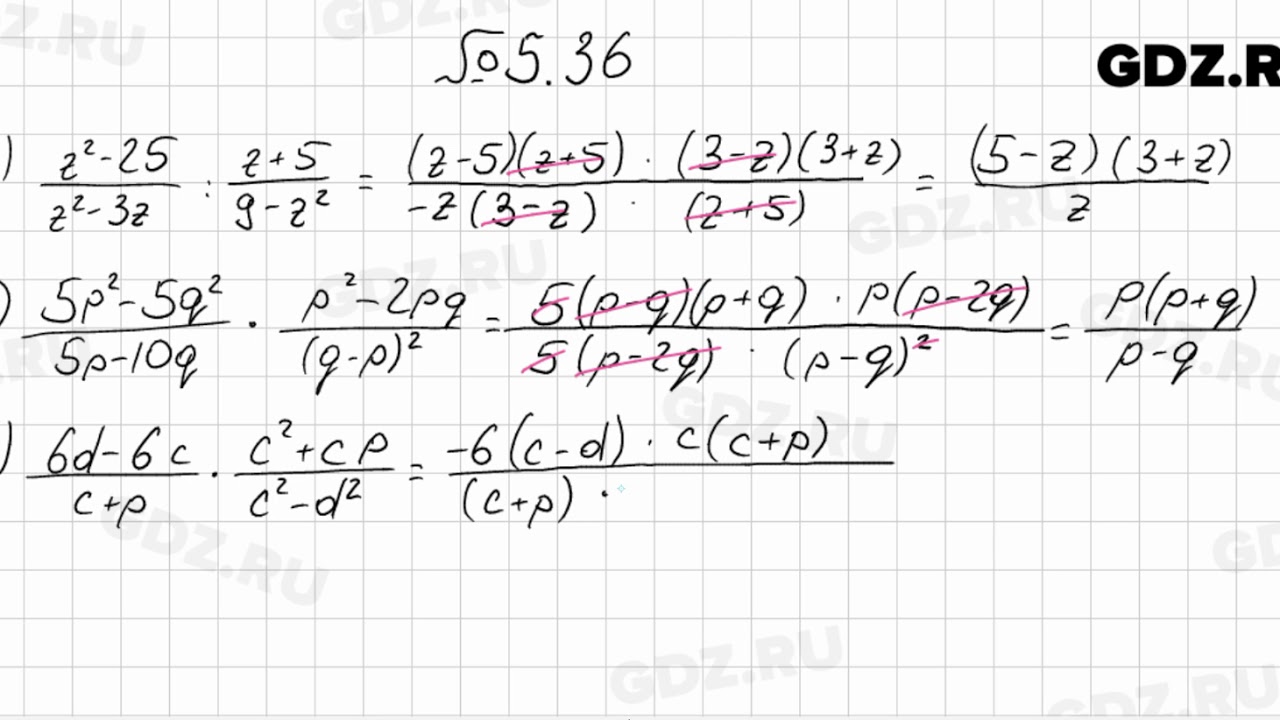
С 36 алгебра 7 класс