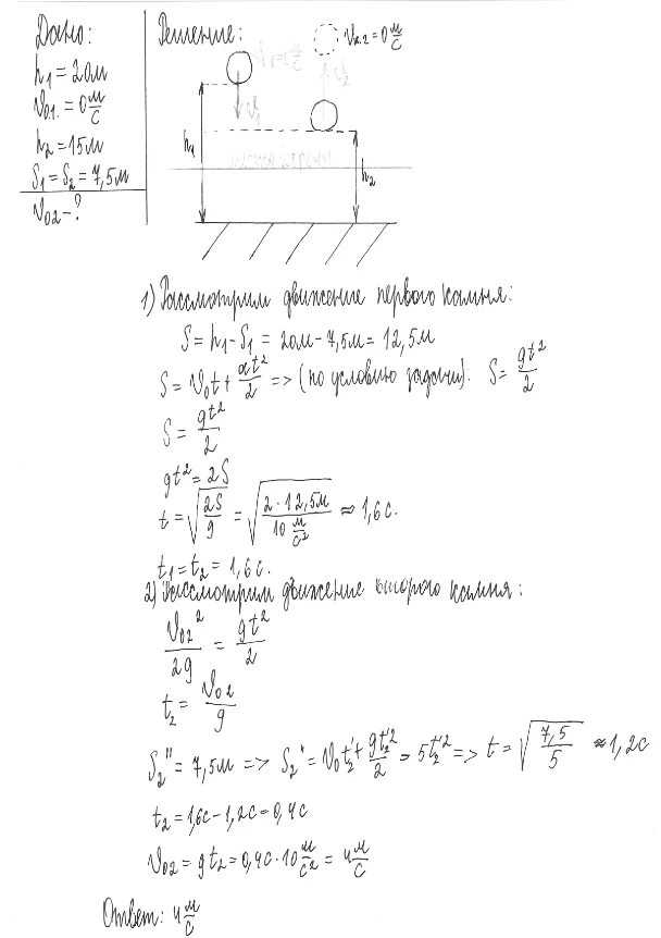
С высоты 20м вертикально вверх