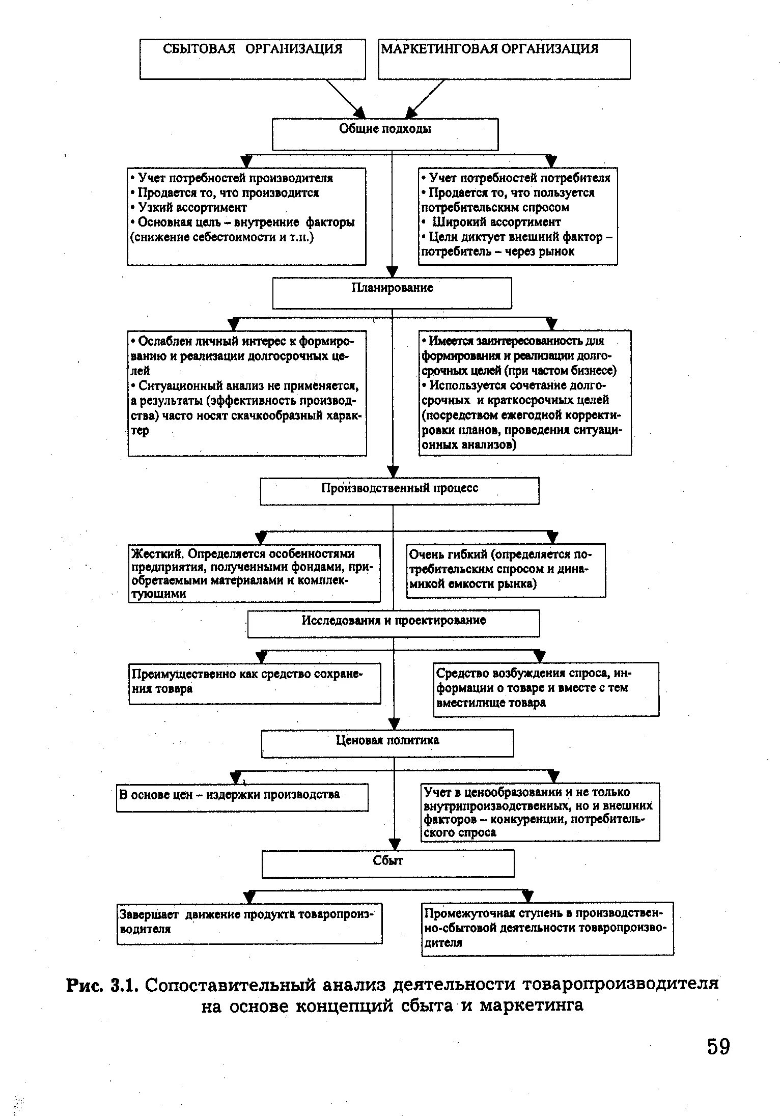
Сбытовую деятельность предприятия