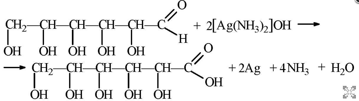
Серебро уравнение реакции