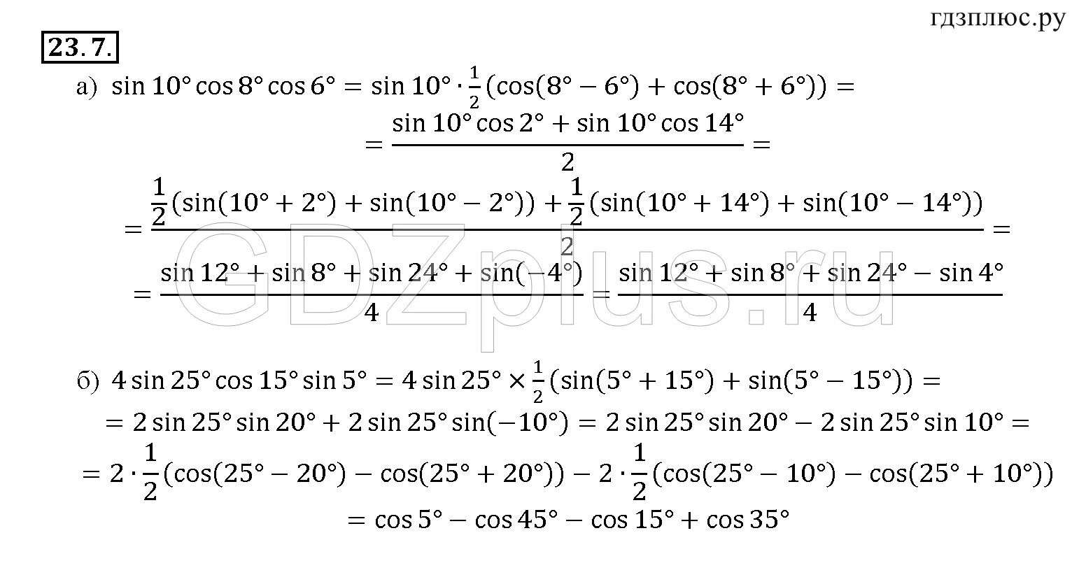
Sin 19 12