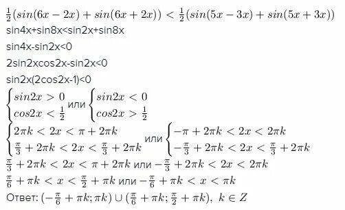
Sin 2x 3 2