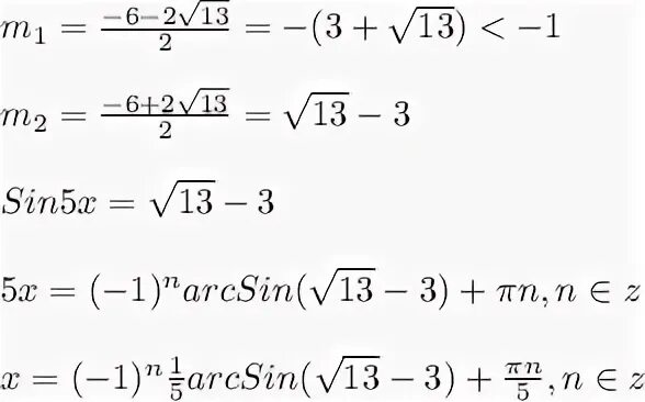
Sin 5x 1 1 4