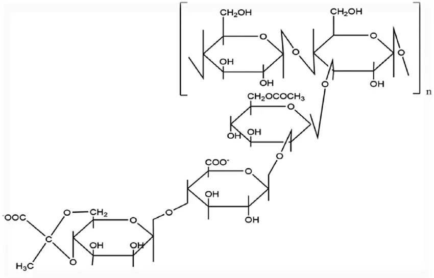
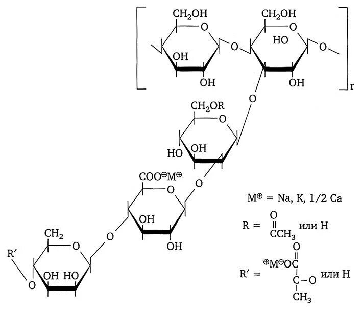
Сколько добавлять ксантановой камеди