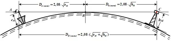
Сколько метров человек видит до горизонта