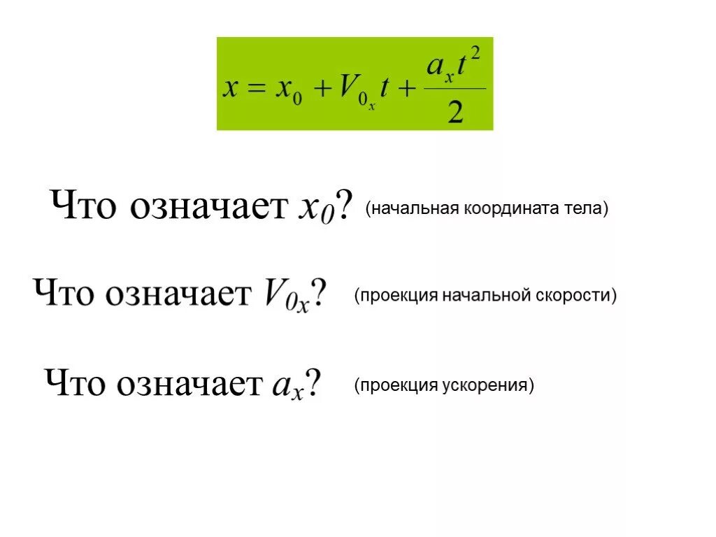
Скорость v0