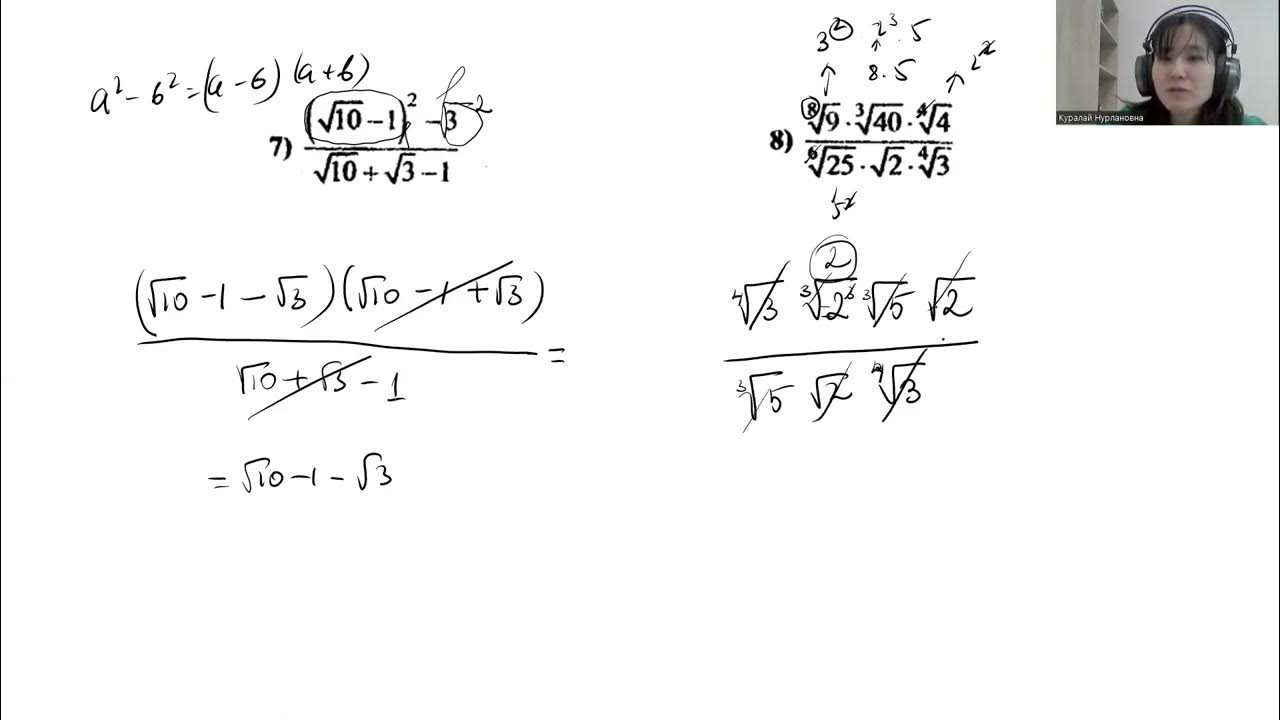
Сократить дробь 5 100