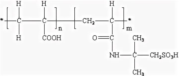
Сополимер акриламида