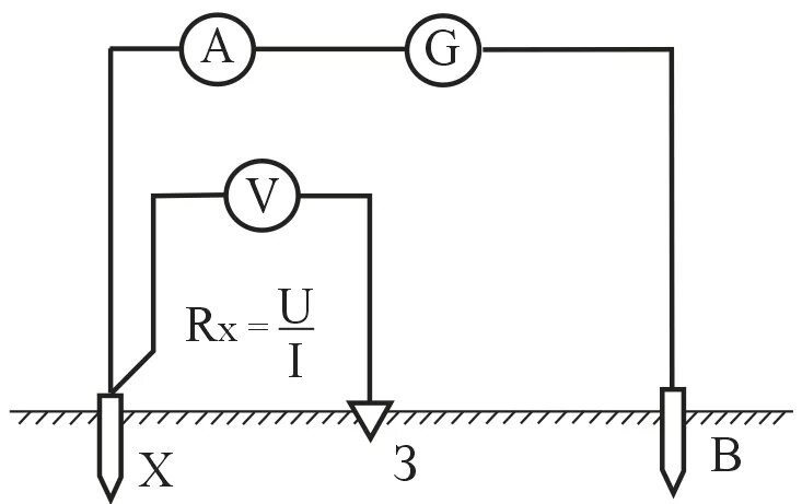
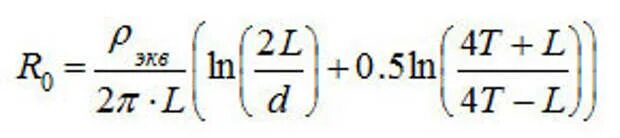
Сопротивление одиночного заземлителя