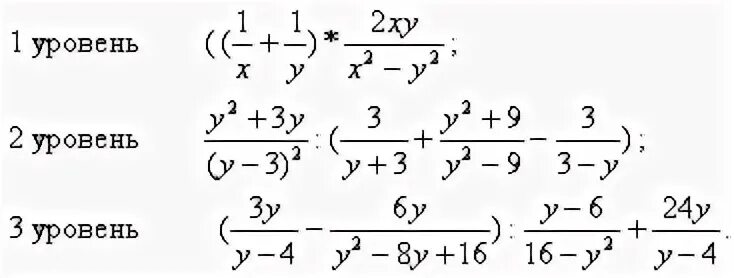
Совместные действия с алгебраическими дробями 8 класс