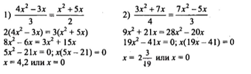
Статистика 8 класс номер 102