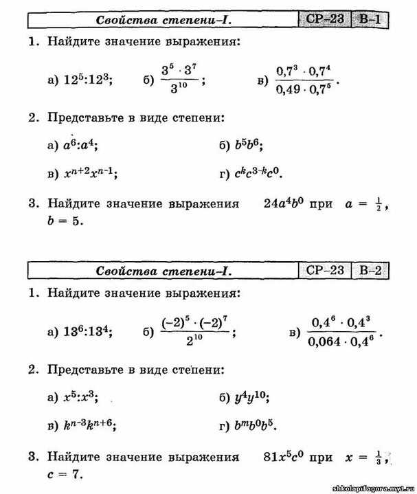
Степени с натуральным показателем контрольная работа