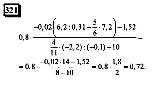
Стр 68 номер 5.414