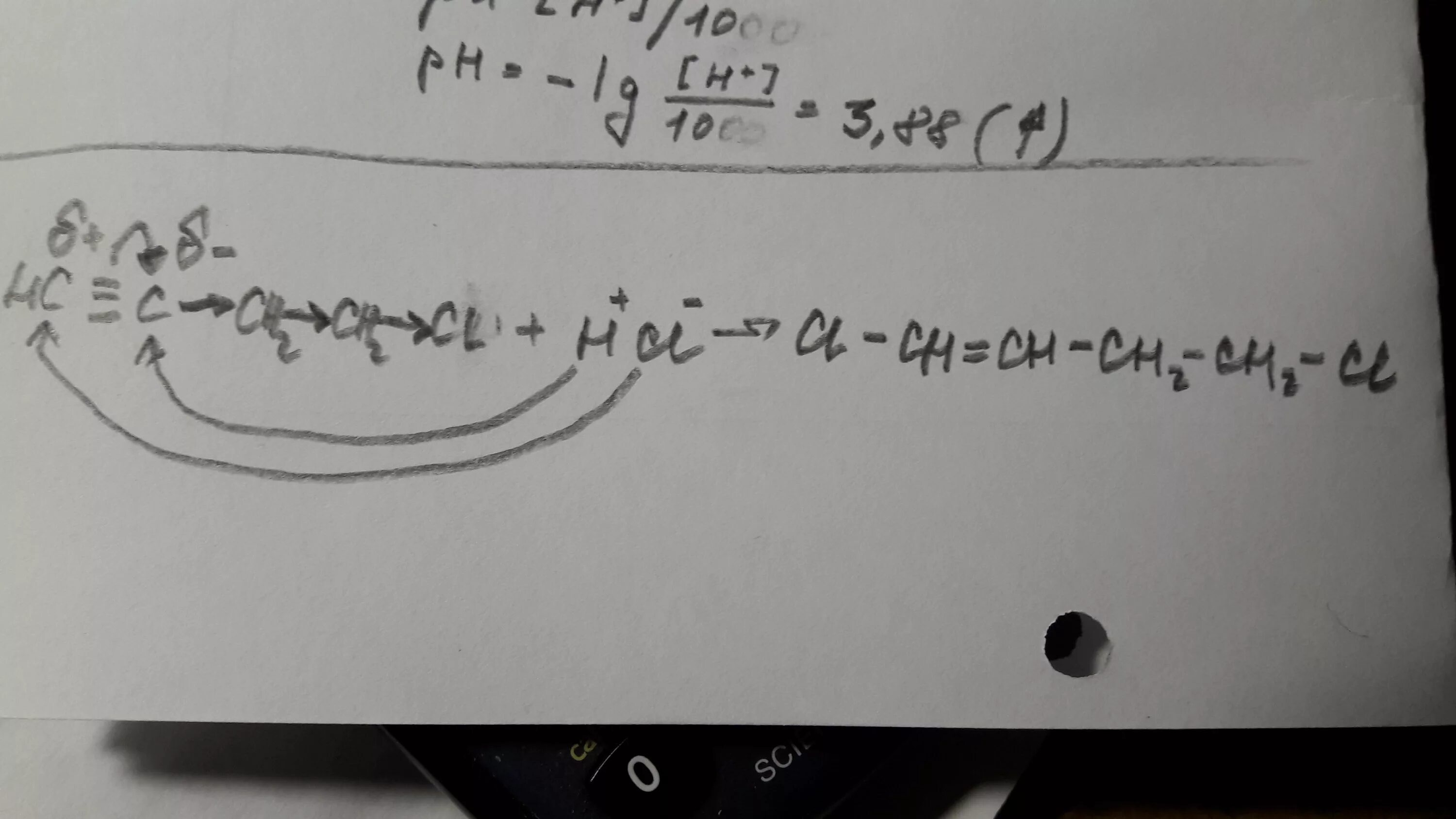
Структурная формула 3 хлорбутин 1