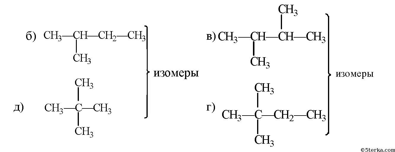
Структурный изомер бутадиена 1 3