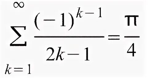
Сумма бесконечный квадратов