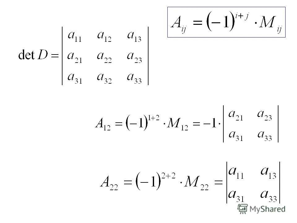
Свойства определителя n го порядка