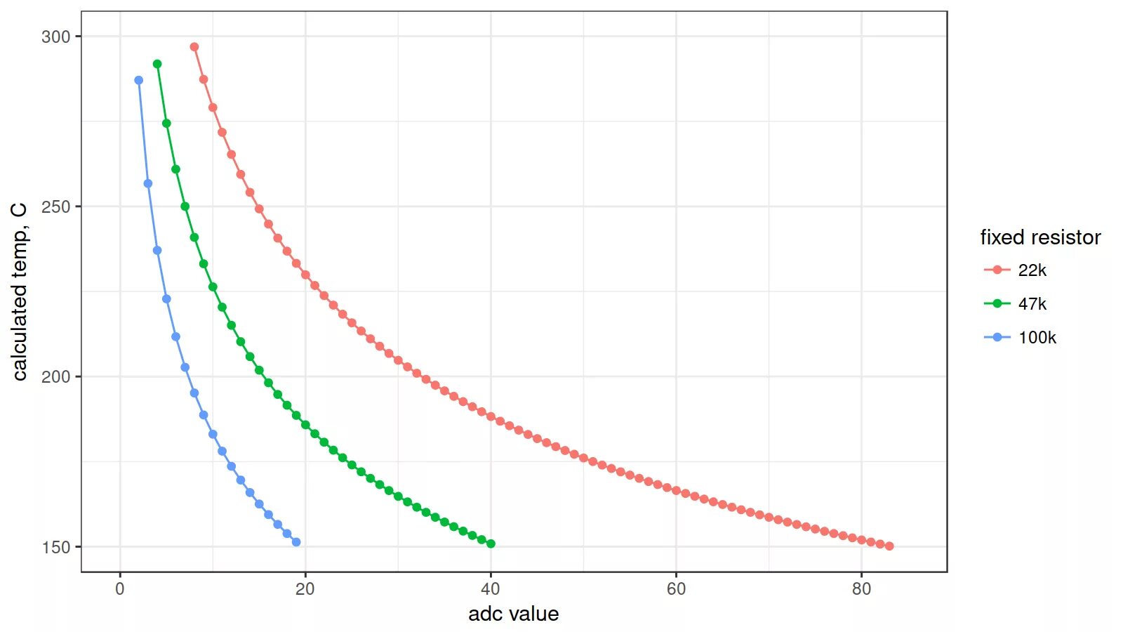
Температура термистора