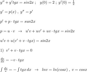
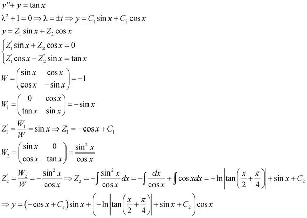
Tgx sinx x 3 2