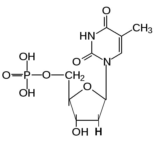
Тимидин 3 фосфат