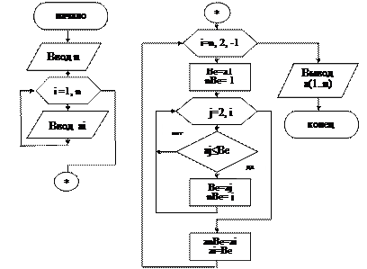
Тип сортировки без вложенного цикла