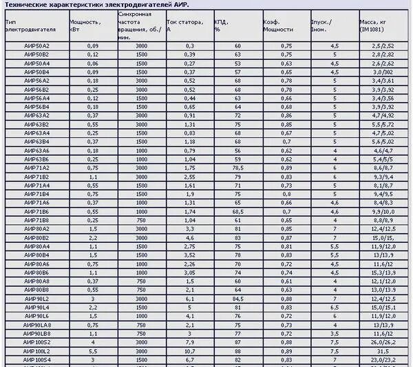
Ток двигателя 1 квт