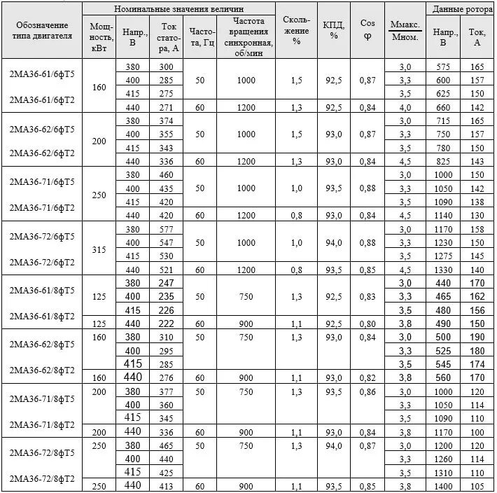
Токи асинхронных двигателей таблица