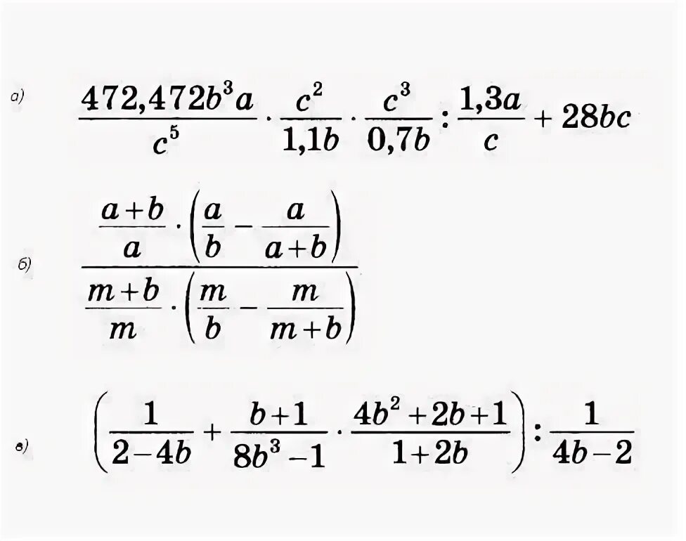
Тренажер дробей 5 класс с ответами