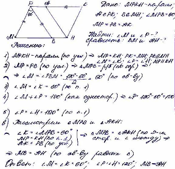
Угол параллелограмма 60