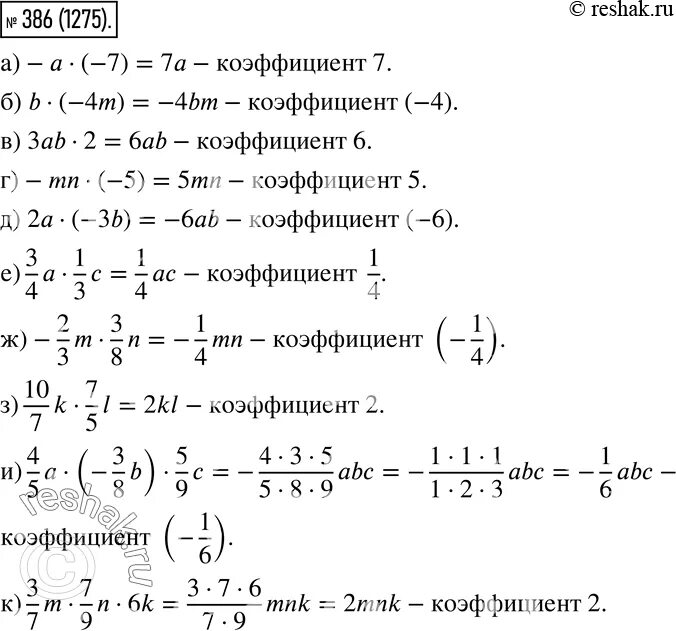
Упр 386