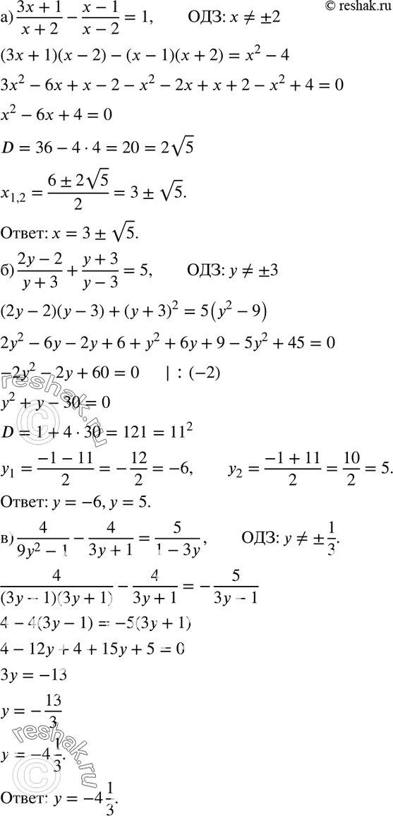
Упр 603