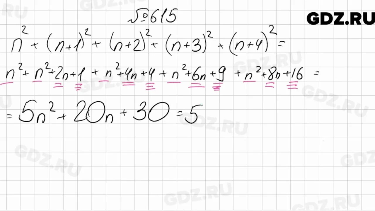
Упр 615 алгебра 7 класс макарычев