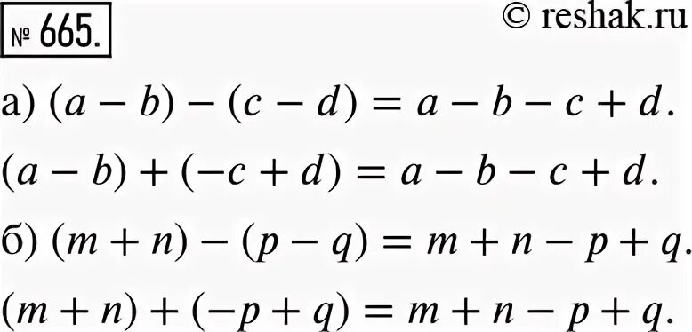
Упр 665 5