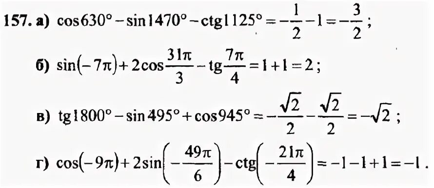
Упражнение 157 7 класс