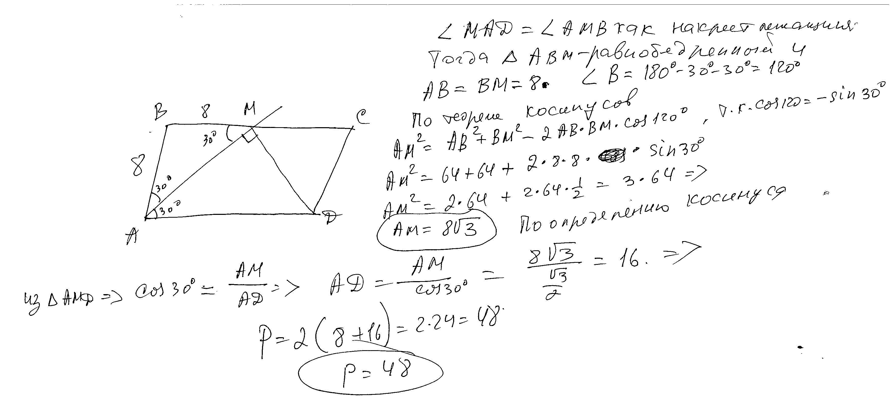
В параллелограмме два угла равны 210