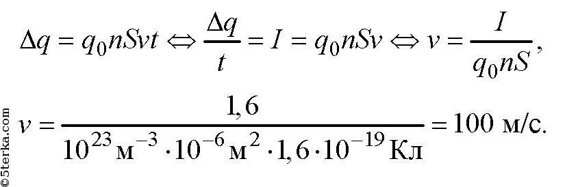
В проводнике площадь поперечного сечения 1 мм2