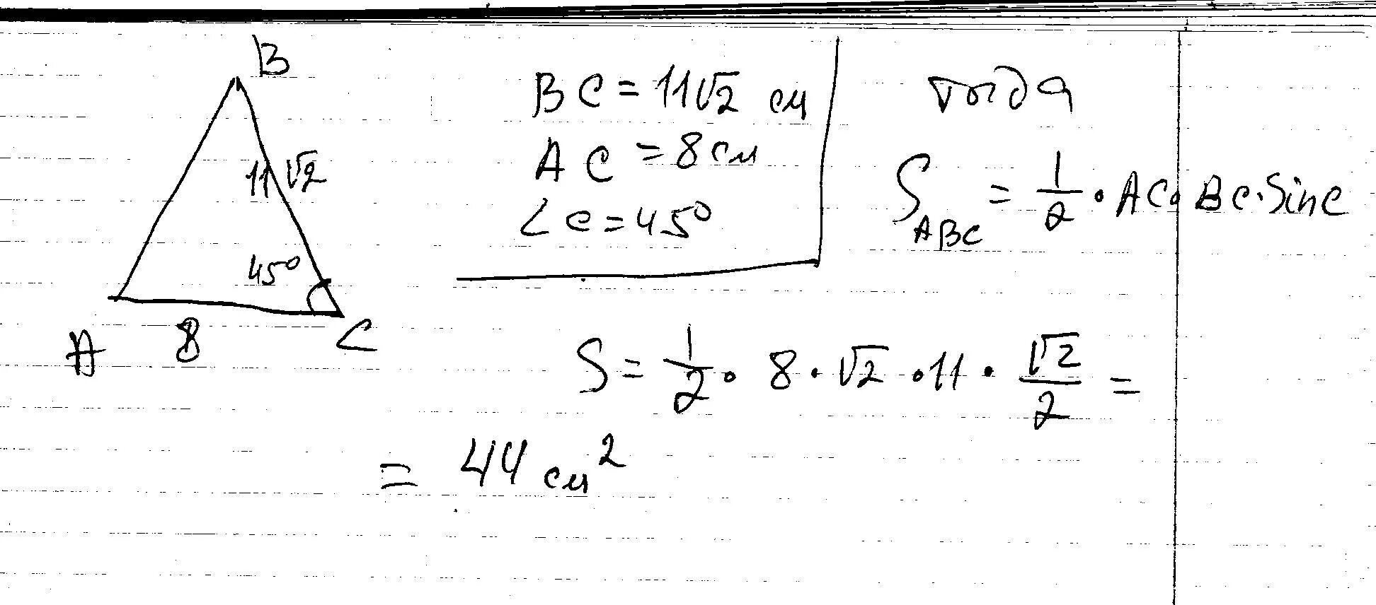
В треугольнике abc bc корень