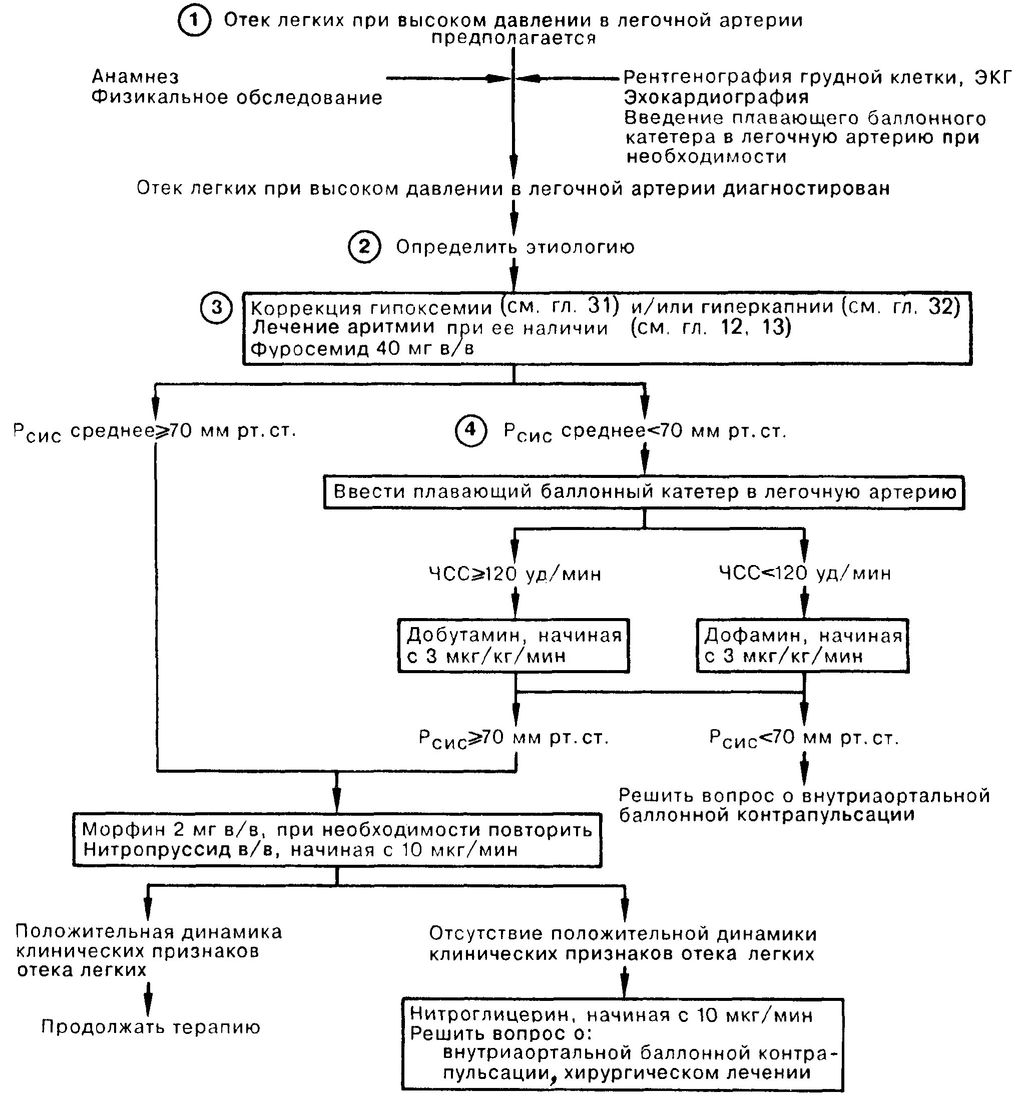
Возникновение отека легких