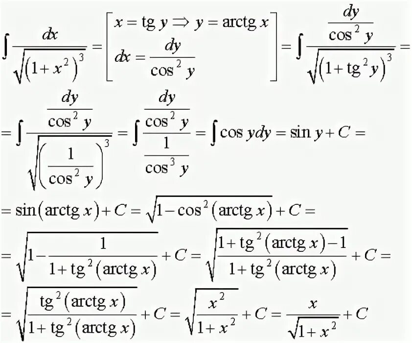
Вычислить интеграл dx x 6