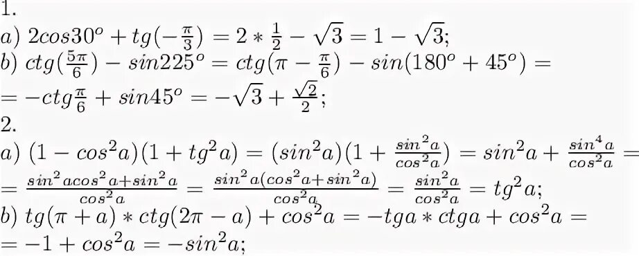
Вычислите cos 30 tg 60