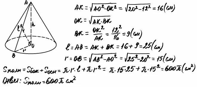
Высота конуса равна 4 радиус 3