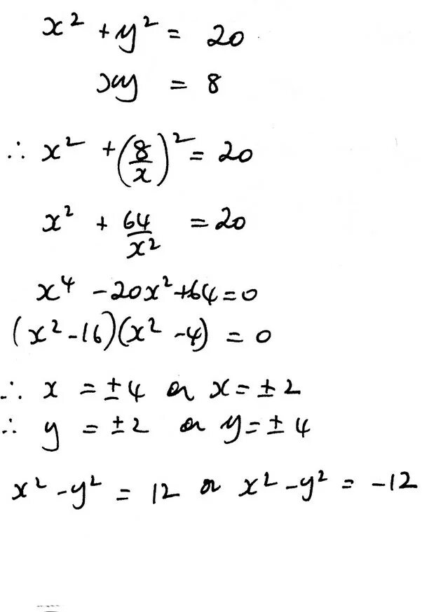
X 2 xy y2