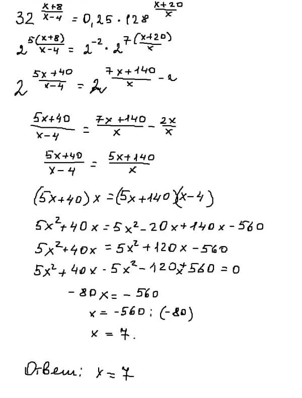
X 4 в четвертой степени